式変形の問題の解答例です。


 問題はこちらです。

p が、“p + 1 = p3” を満たすとき、その p が“p5=p4+1” を満たすことを示せ。

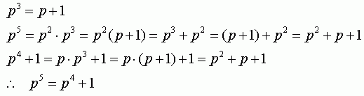
 例えば、単純に代入してゆく、というのが普通の方法でしょうか。

 pの3乗のところをとにかく p+1 に置き換えてゆくだけです。

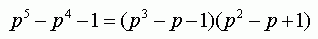
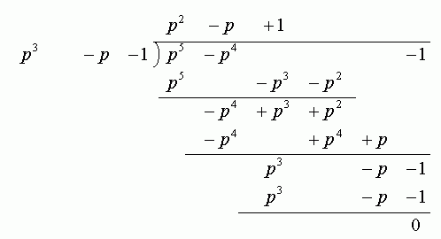
 別な方法として、問題を 「p が、“p3-p-1=0” を満たすとき、その p が“p5-p4-1=0” を満たすことを示せ」 と読み替えて、割り算してしまいます。すると、次のように

割り切れるので、次の式が成り立つことになるので

 “p3-p-1=0” ならば “p5-p4-1=0” であることがわかります。


mailto:hhase@po10.lcv.ne.jp
2001-2006 hhase